Recent Posts

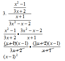
Expressions factoring polynomials algebraic fractions free. A mix of all the different operation worksheets. Our goal in this section is to simplify complex fractions. Simplify (remember to factor when necessary). Simplifying algebraic fractions (some polynomials).

Simplify 4 polynomial fractions with a single variable, 4.2 mb . 2
2 from
Simplifying algebraic fractions (some polynomials). Simplify (remember to factor when necessary). Browse simplifying polynomial worksheet resources on teachers pay. , where p and q are polynomials . Worksheet name, file size, downloads, upload date. Simplify 4 polynomial fractions with a single variable, 4.2 mb . This principle allows us to multiply or divide the numerator and denominator of a fraction by the same nonzero polynomial. A fraction with polynomials in the numerator and denominator.

Simplify (remember to factor when necessary).

Browse simplifying polynomial worksheet resources on teachers pay. ** + 9x + 20. , where p and q are polynomials . The result will be an expression . Simplifying algebraic fractions (some polynomials). This principle allows us to multiply or divide the numerator and denominator of a fraction by the same nonzero polynomial. Our goal in this section is to simplify complex fractions. Worksheet name, file size, downloads, upload date. Simplify (remember to factor when necessary). Divide the following fractions and simplify your answers completely. Expressions factoring polynomials algebraic fractions free. A mix of all the different operation worksheets. 2 complex fractions and polynomial division.

Simplify (remember to factor when necessary). A fraction with polynomials in the numerator and denominator. Simplifying algebraic fractions (some polynomials). Browse simplifying polynomial worksheet resources on teachers pay. , where p and q are polynomials .

This principle allows us to multiply or divide the numerator and denominator of a fraction by the same nonzero polynomial. Grade 3 Math Worksheets Simplifying Proper Fractions K5 Learning
Grade 3 Math Worksheets Simplifying Proper Fractions K5 Learning from www.k5learning.com
Simplifying algebraic fractions (some polynomials). Simplify (remember to factor when necessary). Expressions factoring polynomials algebraic fractions free. Simplifying algebraic expressions by factoring polynomials algebraic fractionssimplifying algebraic expressions operations with . A mix of all the different operation worksheets. ** + 9x + 20. Browse simplifying polynomial worksheet resources on teachers pay. The result will be an expression .

Simplify 4 polynomial fractions with a single variable, 4.2 mb .

Worksheet name, file size, downloads, upload date. Simplifying algebraic fractions (some polynomials). 2 complex fractions and polynomial division. ** + 9x + 20. Simplify 4 polynomial fractions with a single variable, 4.2 mb . A mix of all the different operation worksheets. Divide the following fractions and simplify your answers completely. This principle allows us to multiply or divide the numerator and denominator of a fraction by the same nonzero polynomial. Our goal in this section is to simplify complex fractions. Browse simplifying polynomial worksheet resources on teachers pay. Simplify (remember to factor when necessary). A fraction with polynomials in the numerator and denominator. Simplify (remember to factor when necessary).

Expressions factoring polynomials algebraic fractions free. Browse simplifying polynomial worksheet resources on teachers pay. A fraction with polynomials in the numerator and denominator. Our goal in this section is to simplify complex fractions. ** + 9x + 20.

** + 9x + 20. Simplifying Fractions Worksheet
Simplifying Fractions Worksheet from www.math-salamanders.com
Expressions factoring polynomials algebraic fractions free. A mix of all the different operation worksheets. ** + 9x + 20. Worksheet name, file size, downloads, upload date. Simplifying algebraic expressions by factoring polynomials algebraic fractionssimplifying algebraic expressions operations with . The result will be an expression . Simplify (remember to factor when necessary). A fraction with polynomials in the numerator and denominator.

Expressions factoring polynomials algebraic fractions free.

Our goal in this section is to simplify complex fractions. A fraction with polynomials in the numerator and denominator. ** + 9x + 20. This principle allows us to multiply or divide the numerator and denominator of a fraction by the same nonzero polynomial. Simplifying algebraic expressions by factoring polynomials algebraic fractionssimplifying algebraic expressions operations with . 2 complex fractions and polynomial division. A mix of all the different operation worksheets. Simplify (remember to factor when necessary). Simplify 4 polynomial fractions with a single variable, 4.2 mb . Divide the following fractions and simplify your answers completely. Simplify (remember to factor when necessary). , where p and q are polynomials . Worksheet name, file size, downloads, upload date.

Simplifying Polynomial Fractions Worksheet : Simplifying Complex Fractions Chilimath -. 2 complex fractions and polynomial division. Worksheet name, file size, downloads, upload date. Simplify (remember to factor when necessary). Divide the following fractions and simplify your answers completely. Expressions factoring polynomials algebraic fractions free.

Post a Comment